真空太赫兹探测器
产品简介
SPY-01太赫兹真空探测器是一个可以放置于真空腔中,非常紧凑的热释电探测器。用于探测从紫外到太赫兹波段的微弱电磁波辐射。真空腔太赫兹探测器都装配有外部供电电源。

SPY-01真空太赫兹热释电探测器产品参数:
物理特性 | |
探测原理 | 热释电 |
探测材料 | Black coated LiTaO3 |
重量 | 80g |
操作温度 | -20℃-50℃ |
尺寸(H×B×T) | 24.25mm×28mm×12.9mm |
探测窗口尺寸 | 5mm×5mm |
探测器敏感区域 | 2mm×2mm |
真空兼容性 | 压强<10-6mBar |
测量特性 | |
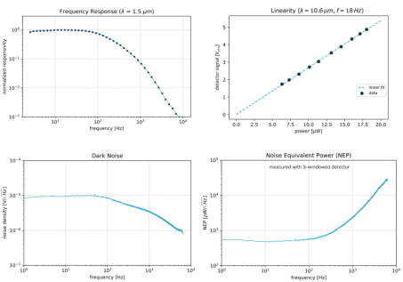
电压响应度 | 2KV/W(@632nm),200KV/W(@10.6um); 调制频率f=20Hz |
响应时间(0-100%) | typ. 0.15s |
调制频率范围f | 5Hz-1KHz |
噪声等效功率NEP | 350pW/Hz1/2(@632nm,f=20Hz) |
噪声密度 | 8uW/Hz1/2(rms,f=20Hz,BW=1Hz,20℃) |
可探测能力 | 典型值 5.7×108cmHz1/2/W |
最大可测量功率 | 250uW(f=10Hz) |
测量频率范围 | Si 窗口:1uw-1000um KBr 窗口:200nm-30um Csl 窗口:400nm-40um Teflon 窗口:60um-1000um 无窗口:10nm-1000um |
电学特性 | |
电源供给 | ±12V |
电源插座 | 3-pole, M8 |
输出接口 | SMA |
输出信号 | 模拟信号 |
输出信号水平 | -5V-5V |
探测器结构尺寸:
真空腔太赫兹探测器典型工作性能: