磷化镓晶体 GaP晶体

磷化镓晶体 GaP晶体
Message
Contact Us Now

磷化镓晶体 GaP晶体

产品简介       

       磷化镓晶体(Gallium Phosphide,简称 GaP晶体)是一种 Ⅲ-Ⅴ 族化合物半导体晶体,具有稳定的闪锌矿晶体结构,是半导体光电子领域的核心基础材料。其独特的能带结构、优异的物理化学稳定性及灵活的晶向定制能力,使其在可见光发射、电子器件制造及太赫兹探测 / 太赫兹发射等场景中具备不可替代的优势,尤其在高可靠性、高灵敏度特种光电器件领域应用广泛。其中,我公司销售的 [110] 晶向 GaP 晶体,更是太赫兹时域光谱技术(THZ-TDS)领域的重要材料。

image.png 

image.png 

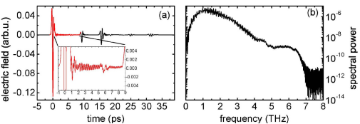
磷化镓晶体(GaP)太赫兹时域光谱和频谱(GaP晶体厚度:500um)

GaP晶体规格参数

品名

型号*

晶向

尺寸**

厚度

安装架规格

GaP晶体

GaP-110-5-0.05

[110]

5mm*5mm

0.05mm

12.7mm

GaP晶体

GaP-110-5-0.5

[110]

5mm*5mm

0.5mm

12.7mm

GaP晶体

GaP-110-10-0.1

[110]

10mm*10mm

0.1mm

25.4mm

GaP晶体

GaP-110-10-0.3

[110]

10mm*10mm

0.3mm

25.4mm

GaP晶体

GaP-110-10-0.3

[110]

10mm*10mm

0.5mm

25.4mm

GaP晶体

GaP-110-10-1

[110]

10mm*10mm

1mm

25.4mm

GaP晶体

GaP-110-10-2

[110]

10mm*10mm

2mm

25.4mm

GaP晶体

GaP-110-10-0.1/100-2

[110]/[100]*

10mm*10mm

2.1mm

25.4mm

 *0.1mm厚度的[110]晶向GaP晶体,光学贴合在2mm厚度的[100]晶向GaP晶体上

Inventory Information
Product Documentation

User Information Form